• Предмет: Алгебра
  • Автор: 037569
  • Вопрос задан 3 года назад

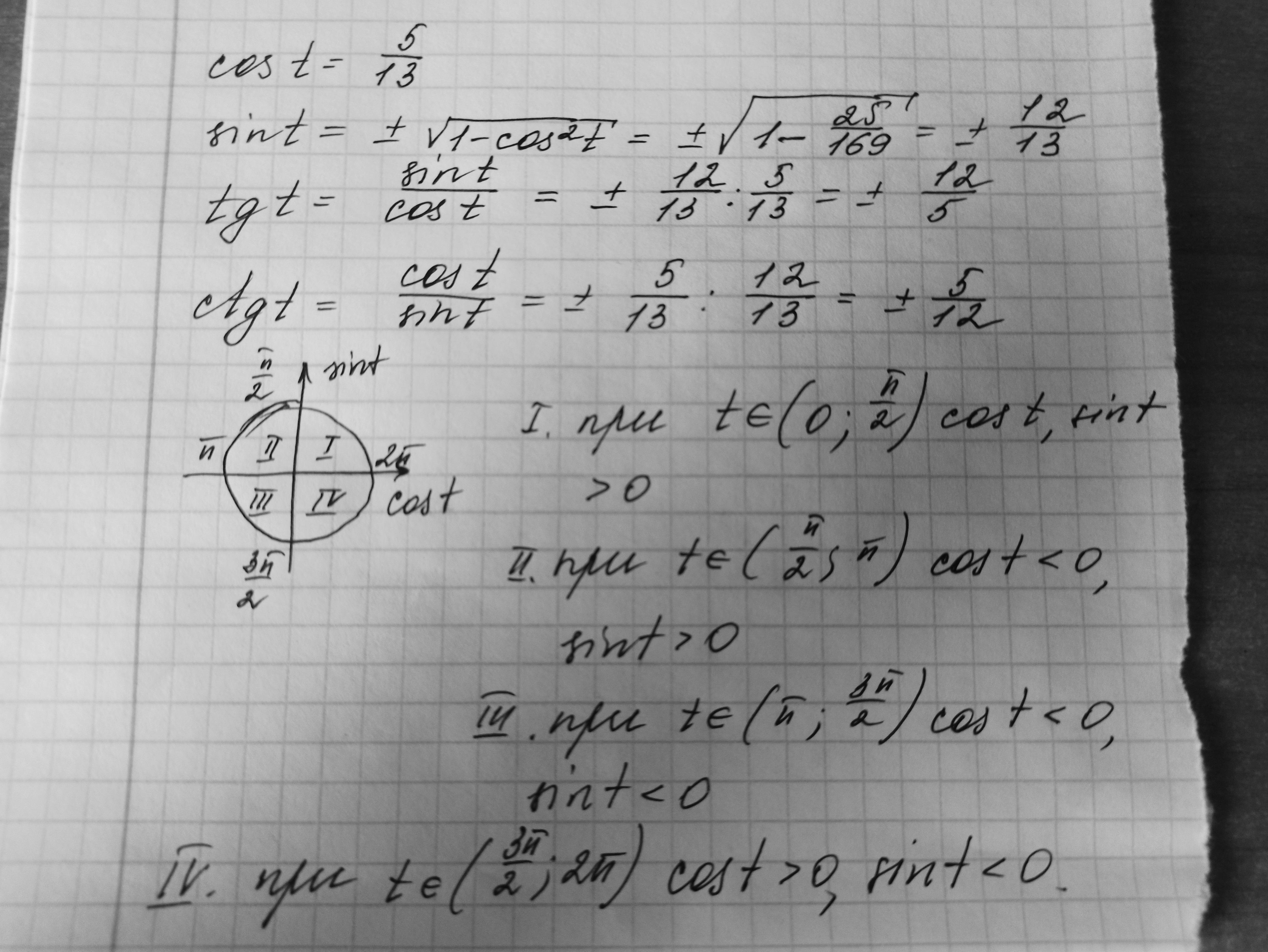
Нахождение значений тригонометрических функций cost=5/13

sint=
tgt=
ctgt=


037569: 3п/2

Ответы

Ответ дал: Guardian07
1

Ответ:

В задании не указано какой четверти принадлежит угол,так что выбираете значения функций исходя из заданного угла,пояснение привел.

Объяснение:

Приложения:
Вас заинтересует