• Предмет: Математика
  • Автор: danikin302
  • Вопрос задан 3 года назад

Помогите пожалуйста!!! Иначе я на 2 год

Приложения:

Ответы

Ответ дал: bodunova94
0

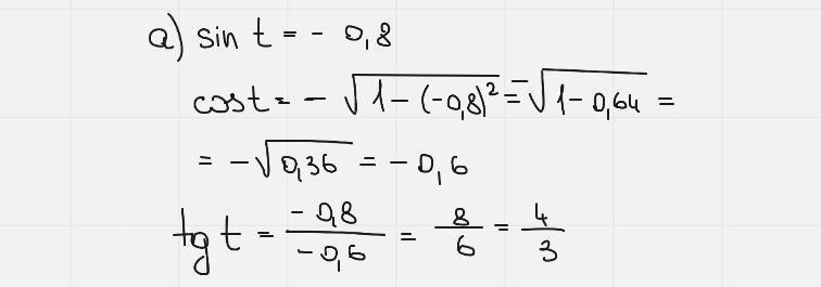
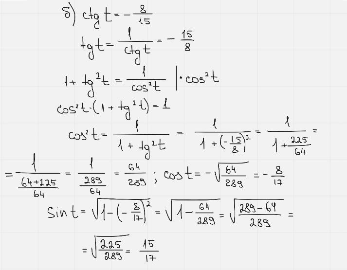
Ответ:

в решении

Пошаговое объяснение:

Во вложении

Приложения:
Вас заинтересует