• Предмет: Физика
  • Автор: duvgsdsdf
  • Вопрос задан 3 года назад

Решите задачку по физике срочно. Во вложении

Приложения:

braincracker: не понятно почему по физике)
duvgsdsdf: ну так векторы же

Ответы

Ответ дал: Leon8634
0

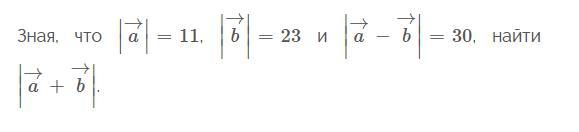
Ответ:

20

Объяснение:

Просто вспомним правило параллелограмма (см. рисунок). Очевидно, что \displaystyle |\vec{a}|=AD=11, \displaystyle |\vec{b}|=AB=23, \displaystyle |\vec{a}-\vec{b}|=BD=30, тогда искомый модуль суммы равен длине второй диагонали АС, найти ее можно, воспользовавшись тождеством параллелограмма:

\displaystyle AC^2+BD^2=2(AD^2+AB^2)

\displaystyle |\vec{a}+\vec{b}|=AC=\sqrt{2(AD^2+AB^2)-BD^2}=\sqrt{2*(11^2+23^2)-30^2}=

=\sqrt{400}=20.

Приложения:
Вас заинтересует