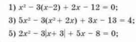
Ответы
Ответ дал:
1
Ответ:
Надеюсь помогла ,Я напишу здесь про то что люблю огурцы,т.к. надо 20 символов
Приложения:

kalman89:
спасибо
Вас заинтересует
2 года назад
2 года назад
2 года назад
2 года назад
7 лет назад
7 лет назад
9 лет назад
9 лет назад