• Предмет: Алгебра
  • Автор: Eonfj
  • Вопрос задан 3 года назад

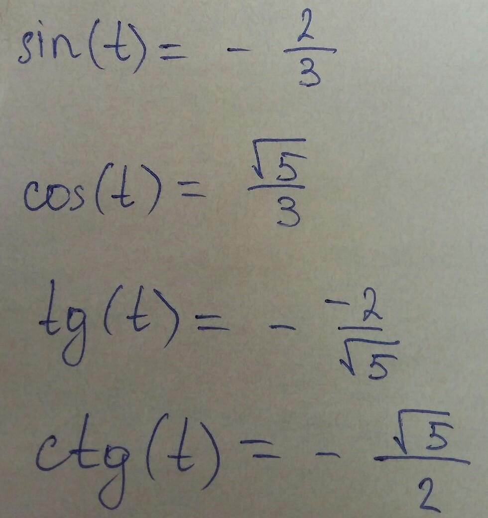
Используя единичную окружность и заданные координаты точки окружности, найди sin(t), cos(t), tg(t), ctg(t) помогите пожалуйста срочно!!!!!!!!

Приложения:

Аноним: если нашел помоги мне плес

Ответы

Ответ дал: 69tee
2

Ответ:

ответ написан на листочке

Приложения:
Вас заинтересует