Ответы
Ответ дал:
0
Ответ:
Производная сложной функции.
Приложения:

Ответ дал:
1
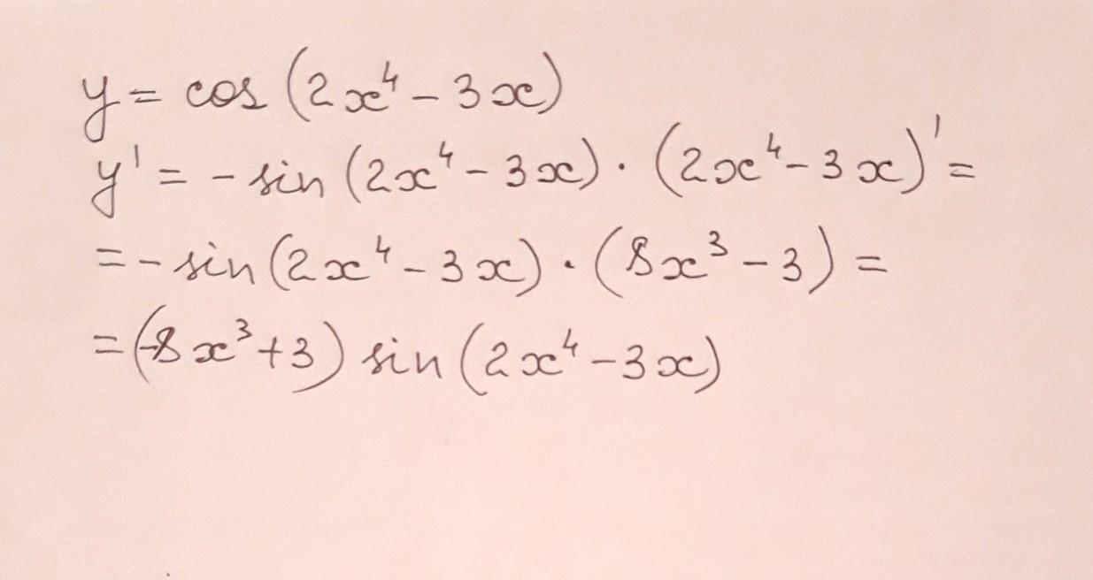
Производная сложной функции, внешняя - тригонометрическая зависит от алгебраической суммы степенных. поэтому находим производную первой и от алгебраической суммы двух других и перемножаем.
у'=(cos(2x⁴-3x))'=-sin(2x⁴-3x)*(2x⁴-3x)'=-sin(2x⁴-3x)*(8x³-3)=
(3-8x³)*sin(2x⁴-3x)
Вас заинтересует
2 года назад
2 года назад
2 года назад
7 лет назад
7 лет назад
9 лет назад
9 лет назад