• Предмет: Алгебра
  • Автор: Filka7
  • Вопрос задан 3 года назад

задание номер 8 во вложении Найти производную функции

Приложения:

Ответы

Ответ дал: sharofat0
0

Ответ:

Производная сложной функции.

Приложения:
Ответ дал: Аноним
0

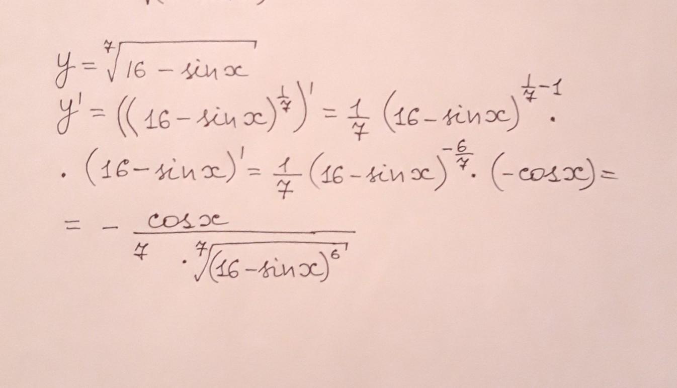
y'=((16-sinx)¹/⁷)'=(1/7)*(16-sinx)⁻⁶/⁷*(16-sinx)'=(-cosx)*(1/7)*(16-sinx)⁻⁶/⁷=

-cosx/(7*(16-sinx)⁶/⁷)

знаменатель можно записать как семь умноженное на корень седьмой степени из (16-sinx)⁶.

Вас заинтересует