• Предмет: Математика
  • Автор: Аноним
  • Вопрос задан 3 года назад

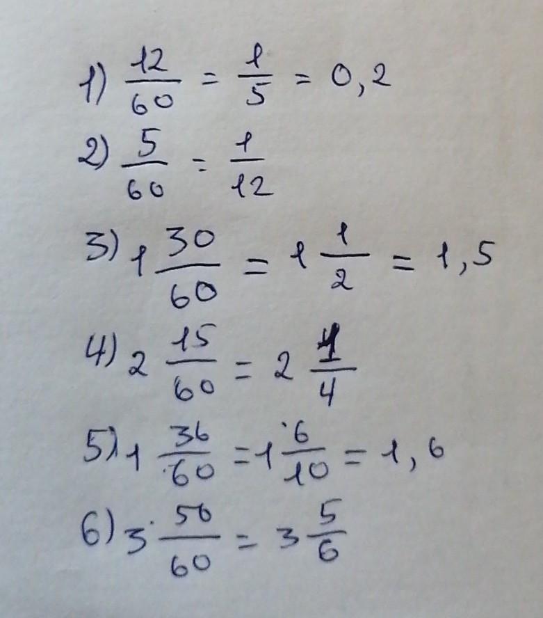
математика шестой класс выразите время в часах сначала обыкновенной дробью а затем легли возможно в виде десятичной дроби 12 минут 5 минут номер 24​

Ответы

Ответ дал: DeBo4ka4CB
0

Ответ:

^^^^^^^^^^^^^^^^^^^^^^^

Приложения:
Вас заинтересует