• Предмет: Математика
  • Автор: Аноним
  • Вопрос задан 3 года назад

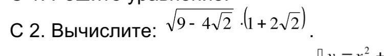
ребят, помогите плиз ​

Приложения:

Ответы

Ответ дал: kirillvitalevich03
0

Ответ:

Пошаговое объяснение:

1547ответ

Вас заинтересует