• Предмет: Математика
  • Автор: shadow1985
  • Вопрос задан 3 года назад

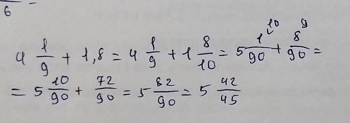
4 1/9+1,8 помогите пожалуйста ​

Приложения:

Ответы

Ответ дал: DeBo4ka4CB
4

Ответ:

^^^^^^^^^^^^^^^^^^^^^

Приложения:
Вас заинтересует