• Предмет: Математика
  • Автор: fmahmudov08
  • Вопрос задан 3 года назад

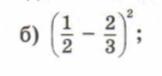
как решить этот пример

Приложения:

Ответы

Ответ дал: n1k1tyy
0

1

36

  1. Нужно вычетать дроби
  2. Потом нужно возвести дробь в степень
Вас заинтересует