• Предмет: Алгебра
  • Автор: Veronica1313
  • Вопрос задан 3 года назад

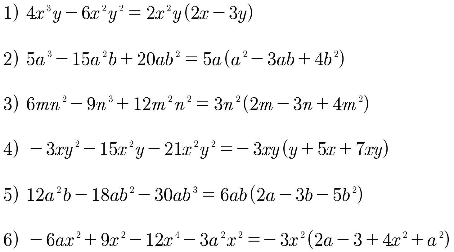
70 баллов помогите Вынесите общий множитель за скобки

Приложения:

Ответы

Ответ дал: tamarabernukho
1

Ответ:

Объяснение:

**********************

Приложения:
Вас заинтересует