• Предмет: Химия
  • Автор: prostogan
  • Вопрос задан 11 лет назад

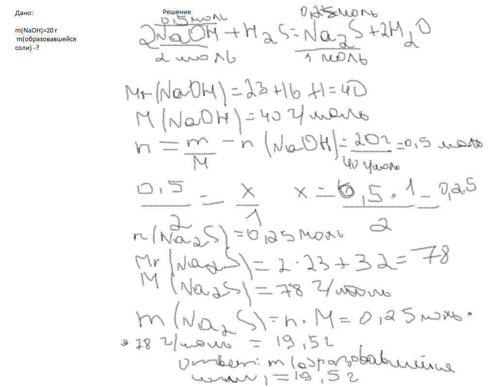
через раствор ,содержащий 20 г гидроксида натрия пропустили сероводород. Определите массу образовавшийся соли

Ответы

Ответ дал: veresova9898
0
извиняюсь за качество
Приложения:
Ответ дал: kristina098
0
я думаю что наверное так)))))))))))))))))))
Приложения:
Вас заинтересует