1)(а(а³)²)⁴ ??????????????????????????????????????????????????
tamarabernukho:
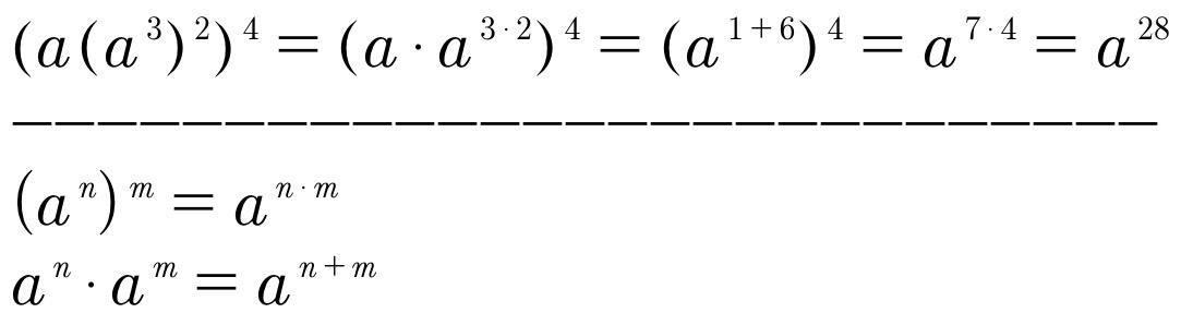
=a^(28)
Ответы
Ответ дал:
2
Ответ:
Объяснение:
//////////////////////////////////////
Приложения:

Ответ дал:
2
1)(а(а³)²)⁴ =а⁴*(а⁶)⁴=а⁴*а²⁴=а²⁸
при возведении в степень произведения возводим в степень каждый множитель, при возведении степени в степень показатели перемножаем, а при умножении степеней с одинаковыми основаниями показатели степеней складываются.
Вас заинтересует
2 года назад
2 года назад
2 года назад
2 года назад
7 лет назад
7 лет назад
9 лет назад