• Предмет: Математика
  • Автор: shkoda70759
  • Вопрос задан 3 года назад

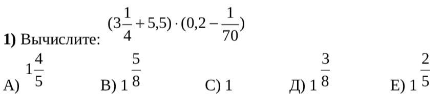
Помогите решить математику

Приложения:

Ответы

Ответ дал: tulenovaaida2004
1

Ответ:

В

Пошаговое объяснение:

(3 1/4 + 5,5)× (0,2- 1/70)

для начала выполняем первую часть:

3 1/4 +5,5= 3 23/4

дальше вторую:

0,2 - 1/70= 13/70(13 на вверх, 70 вниз)

соединяем : 5

3 23/4× 13/70=1 8


shkoda70759: Спасибо вы меня спасли!
Вас заинтересует