Ответы
Ответ дал:
0
Ответ:
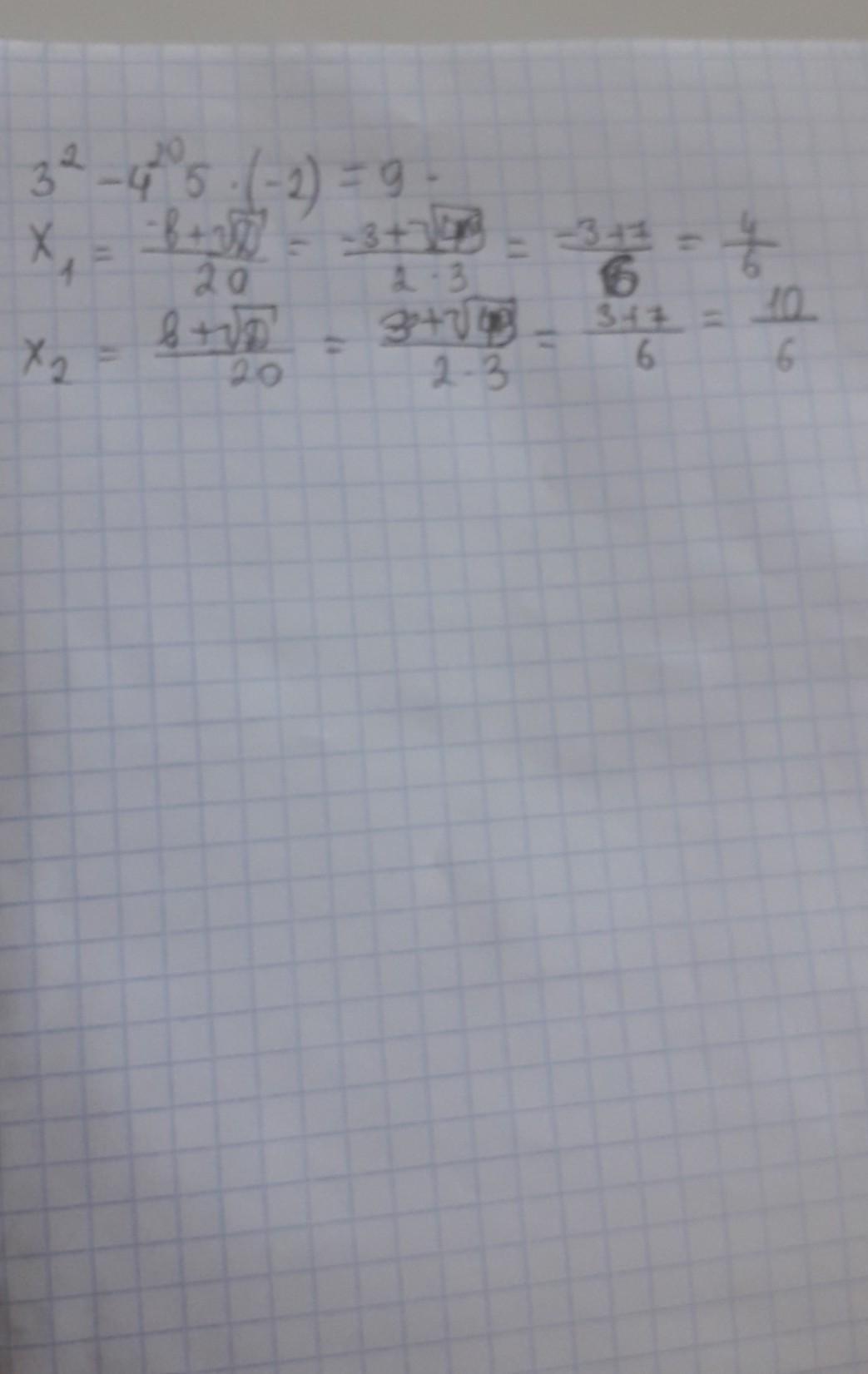
d=b^2-4ac=3^2-4*5*(-2)=49
x1=
Приложения:

Ответ дал:
0
Объяснение:
5x^2+3x-2=0
10x+3x-2=0
10x+3x=2
13x=2
x=6,5
Вас заинтересует
2 года назад
2 года назад
2 года назад
2 года назад
7 лет назад
7 лет назад
9 лет назад