Ответы
                                            Ответ дал: 
                                                                                    
                                        
                                            
                                                
                                                
                                                
                                                    2
                                                
                                            
                                        
                                    Ответ:
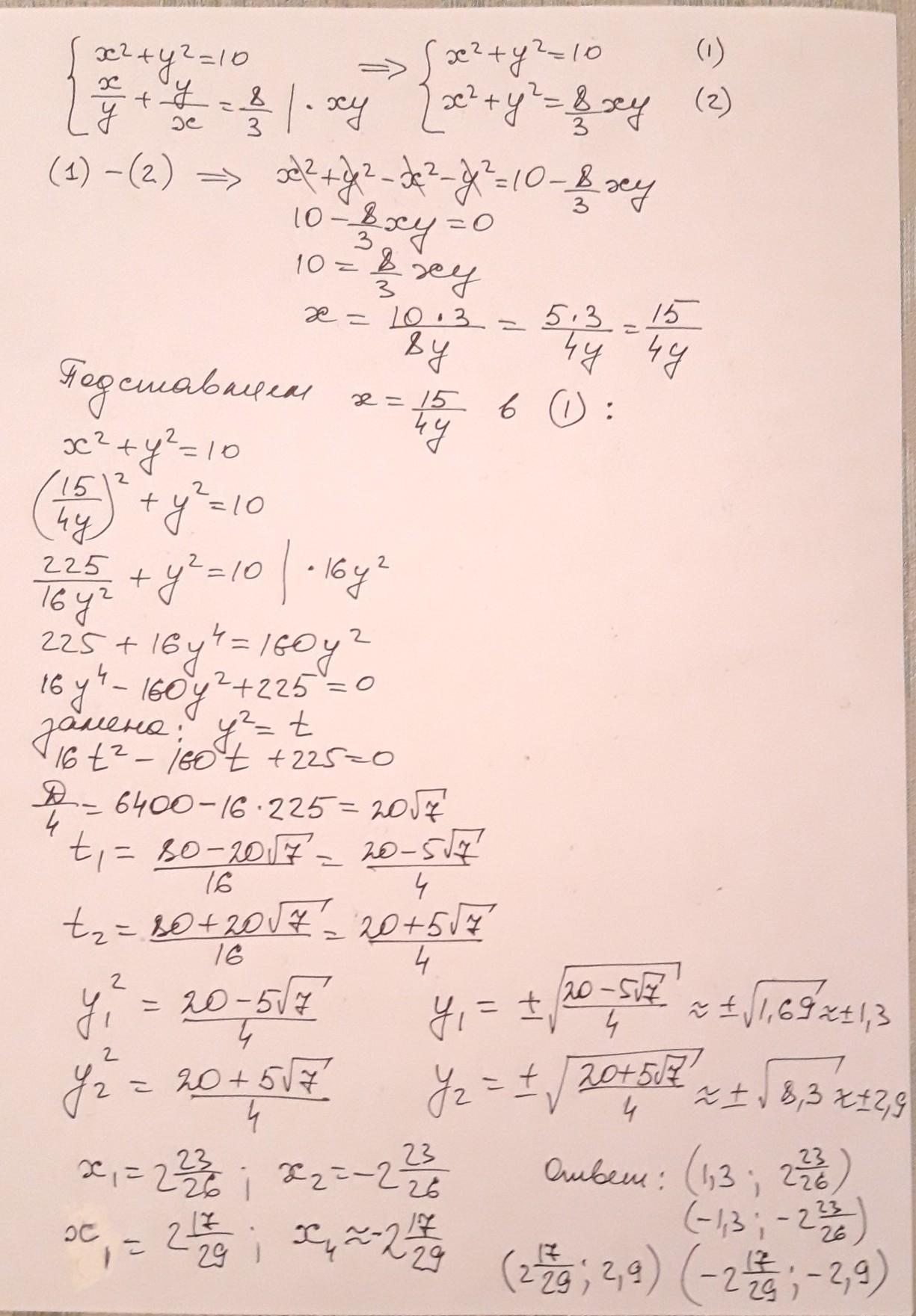
Решить систему уравнений.
Приложения:
                     
                            
                    nktselepov:
                    благодарю
                
            
                    
                    а как получилось 80-20V 7/4?
                
            
                    
                    там же формула -б +- VD
                
            
                    
                    /2а
                
            
                    
                    это формула четверти D
                
            Вас заинтересует
                
                        2 года назад
                    
                
                        2 года назад
                    
                
                        2 года назад
                    
                
                        7 лет назад
                    
                
                        7 лет назад
                    
                
                        9 лет назад
                    
                