• Предмет: Алгебра
  • Автор: zaykaayenyshka
  • Вопрос задан 3 года назад

помогите пожалуйста​

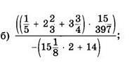
Приложения:

Ответы

Ответ дал: table123
1

Ответ: -1/177

Объяснение:

1)  общий знаменатель =60,   12/60+2 40/60 +3 45/60=5 97/60=

6 37/60=397/60,    2)397/60 * 15/397= 15/60=1/4

3) 121/8*2 +14= 121/4 + 14=121/4 +56/4=177/4

4) 1/4 : (-177/4)=-1/177


zaykaayenyshka: Спасибо!!!
Вас заинтересует