• Предмет: Математика
  • Автор: habahovam
  • Вопрос задан 3 года назад

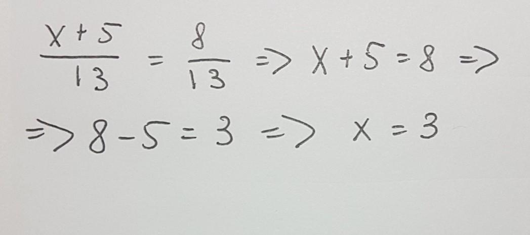
как решить уравнение x + 5 / 13 равно 8 / 13​

Ответы

Ответ дал: mralgiz
1

Ответ:

Ответ: 3 Решение на рисунке

Приложения:

habahovam: спасибо большое
Вас заинтересует