Ответы
Ответ дал:
1
Ответ:
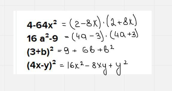
В решении
Пошаговое объяснение:
Приложения:

tatanazadorkina2:
спасибо
Вас заинтересует
2 года назад
2 года назад
2 года назад
7 лет назад
7 лет назад
9 лет назад