• Предмет: Алгебра
  • Автор: Rita11254
  • Вопрос задан 3 года назад

9.
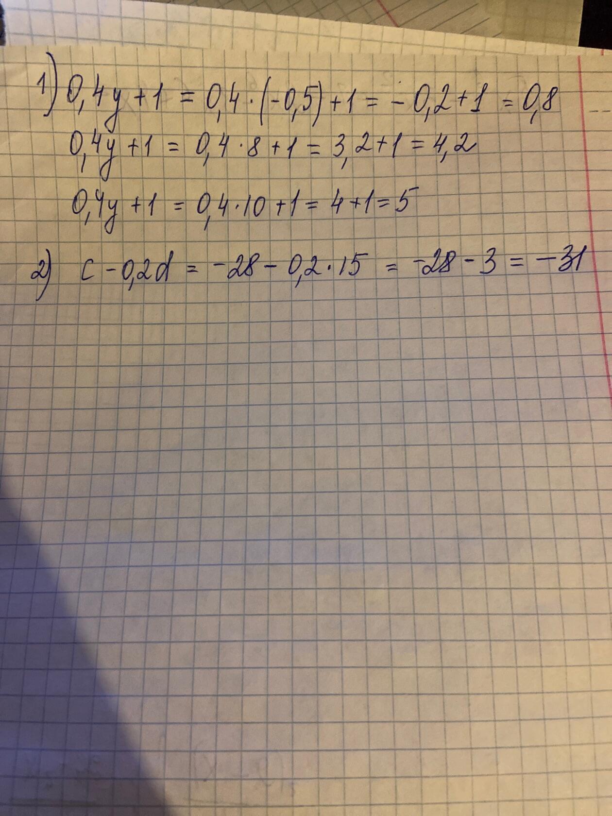
Вычислите значение выражения:
1) 0,4y + 1 при у = -0,5; 8; 10;
2) с – 0,2d
при с= -28, d = 15.


Решите пж!!!!


Rita11254: Решила кст не правильно

Ответы

Ответ дал: иолантаи
10

Ответ:

решила

Объяснение:

Приложения:

Rita11254: Решила кст не правильно
Вас заинтересует