• Предмет: Математика
  • Автор: 7456345
  • Вопрос задан 3 года назад

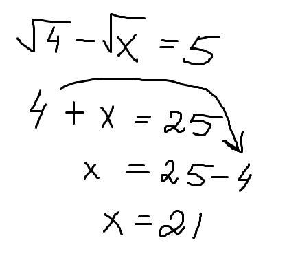
корень 4 минус корень x равно 5

Ответы

Ответ дал: Enzes
0

Ответ:

Пошаговое объяснение:

Приложения:
Вас заинтересует