• Предмет: Математика
  • Автор: zzirel19
  • Вопрос задан 3 года назад

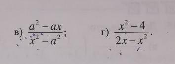
Помогите пожалуйста с упражнениями ​

Приложения:

Ответы

Ответ дал: vladislav19991257
0

Ответ:

в) a

- ––

x+a

Пошаговое объяснение:

1. Вынести за скобки общий множитель:

-a•(-a+x) -a•(-a+x) a

————— = ------------- = - ––

x^2-a^2 (x-a)•(x+a) x+a

Вас заинтересует