• Предмет: Химия
  • Автор: zanerketursunkulova
  • Вопрос задан 3 года назад

параллелограмның доғал бұрышы 118 градусқа тең. Оның сүйір бұрышын табыңдар


arlanchik06: маған 62 қалай шыққаны керек

Ответы

Ответ дал: arlanchik06
3

Объяснение:

мағанда осы керек еді бірақ бұл геометрия


karimovasandugas97: бұрыш А=62 градус бұрыш В=118 градус бұрыс С=62 градус бұрыш Д=118градусқа тең болады.
dezraisfreefire: рахмет
govnae: басынды урайын 7х=28 X=4 МНЕ ОЗИМ ШЫГАРДЫМ
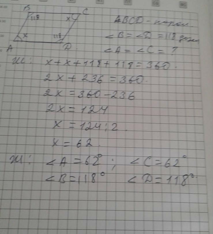
Ответ дал: karimovasandugas97
15

осылай шығарылады.Шығарылу жолын жібердім

Приложения:

warbanuaidos: 236 неден шықты
Вас заинтересует