• Предмет: Математика
  • Автор: goplkb
  • Вопрос задан 3 года назад

пример по математике 6 класс​

Приложения:

Ответы

Ответ дал: san4924
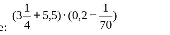
1

1 1 5

(3 _ + 5,5)•(0,2- _)=1 _

4 70. 8

5

ответ 1. _

8

Вас заинтересует