• Предмет: Математика
  • Автор: bodya20081607
  • Вопрос задан 3 года назад

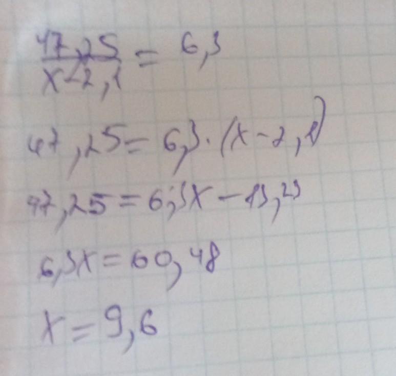
47.25:(x-2.1)=6.3 помогите пж

Ответы

Ответ дал: danielnadirbekov
0

Ответ:

ответ таков Х = 9.6 объяснение очень много

Ответ дал: hill384
1

решение на фото

..........

Приложения:
Вас заинтересует