• Предмет: Математика
  • Автор: zzirel19
  • Вопрос задан 3 года назад

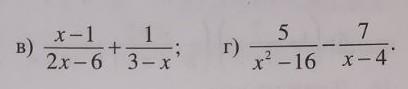
Срочно, помогите с упражнением пожалуйста!
Номер 6 (в,г)​

Приложения:

Ответы

Ответ дал: aaulymzidebaj
0

Ответ:

в)2х-6=(x-1)(3-x)

2x-6=3x-x^2-3+x

2x-3x+x^2-x=6+3

x^2-2x-8=0

D=

и дальше дискриминат

г)5x-20=7x^2-112

7x^2+5x=112+20

7x^2+5x=132

7x^2+5x-132=0

D= b^2.....

дальше дискриминант

Вас заинтересует