• Предмет: Алгебра
  • Автор: katerina123krasa
  • Вопрос задан 3 года назад

Помогите очень срочно!!!

Приложения:

Ответы

Ответ дал: bodunova94
0

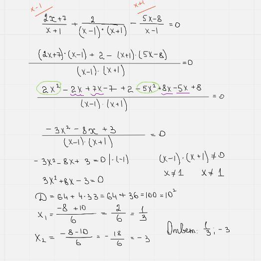
Ответ:

Ответы в решении

Объяснение:

Приложения:
Вас заинтересует