Ответы
Ответ дал:
0
Объяснение:
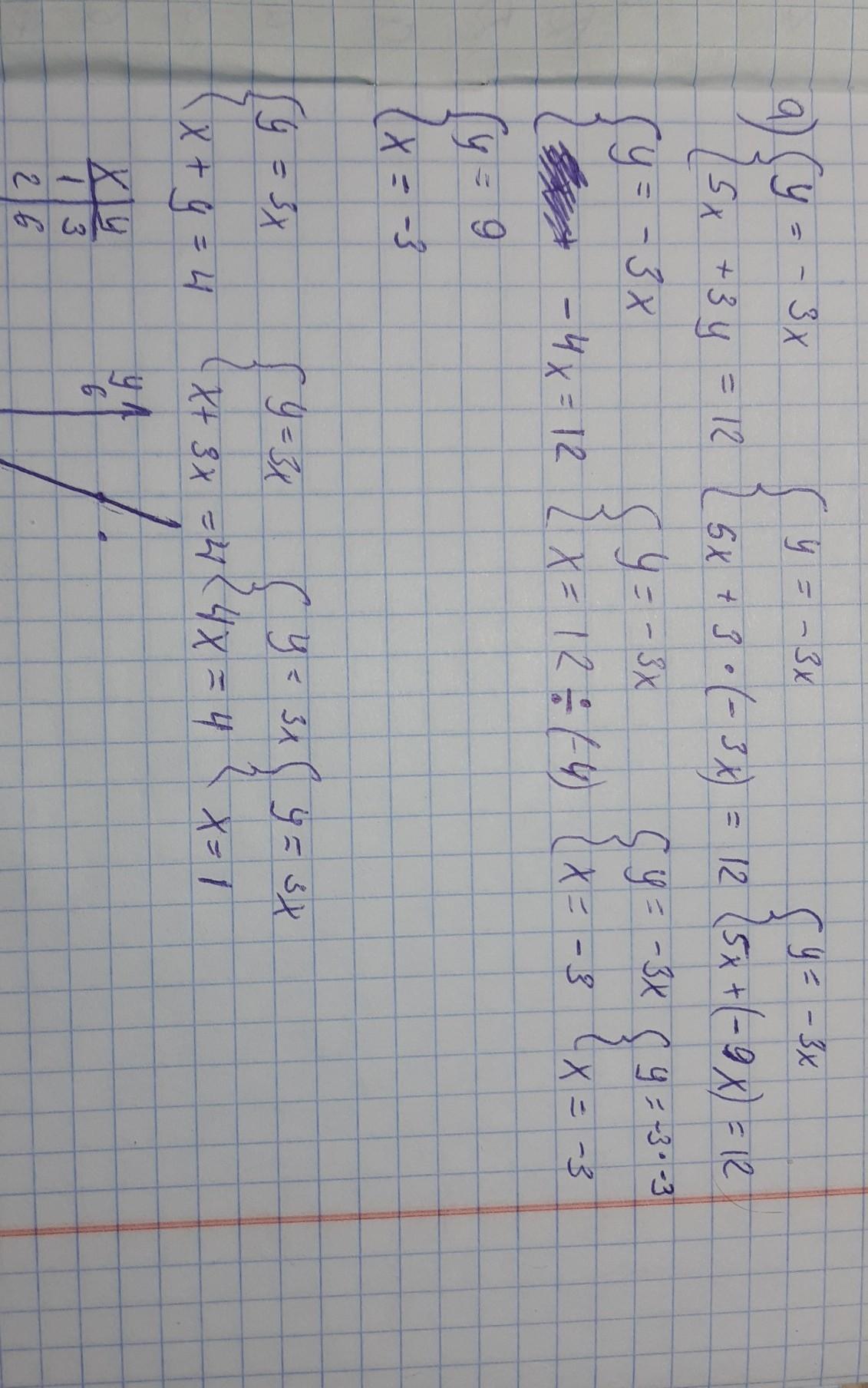
2 задание не полностью вместилось, там график чертишь с прямой по градусам.
например Х = 1, У будет равен 3 т.к У=3Х
получилась координата (1;3). Т.к это прямая двух координат будет достаточно. Я предлагаю взять (-1;-3).
если что-то непонятно, то спашивай
Приложения:

Вас заинтересует
2 года назад
2 года назад
2 года назад
2 года назад
9 лет назад