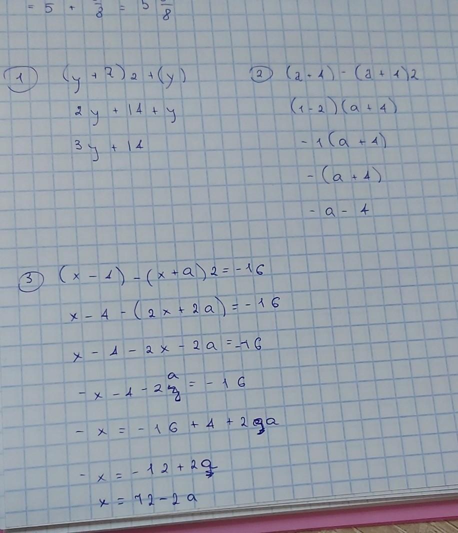
Помогите пожалуйста по алгебре решить примеры упростить выражения: 1). (y+7)2+(y). 2). (a+4)-(a+4)2. (x-4)-(x+a)2=-16.
Ответы
Ответ дал:
1
030404944993020щкщкщкщккк
Приложения:

Вас заинтересует
2 года назад
2 года назад
2 года назад
7 лет назад
9 лет назад
9 лет назад