• Предмет: Математика
  • Автор: egor236543
  • Вопрос задан 3 года назад

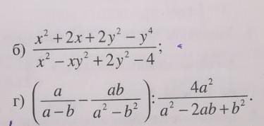
срочно помогите пожалуйста ​

Приложения:

Ответы

Ответ дал: kseniyavereenkova
0

Ответ:

б) x+y^2 / x-2

г) a-b / 4a+4b

Вас заинтересует