• Предмет: Алгебра
  • Автор: irinaaleksandrova271
  • Вопрос задан 3 года назад

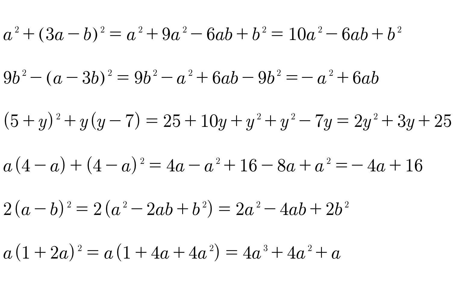
преобразовать в многочлен

Приложения:

Ответы

Ответ дал: tamarabernukho
1

Ответ:

Объяснение:

Воспользуемся формулами квадрат разности, квадрат суммы

(a+b)^2=a^2+2ab+b^2

(a-b)^2=a^2-2ab+b^2

Приложения:
Вас заинтересует