• Предмет: Алгебра
  • Автор: glinovd0
  • Вопрос задан 3 года назад

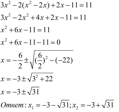
3x^2-2(x^2-2x)+2x-11=11

Ответы

Ответ дал: BpexLoader
1

Решение на фото........................

Приложения:
Вас заинтересует