• Предмет: Алгебра
  • Автор: melchatgamer
  • Вопрос задан 3 года назад

Пожалуйста помогите даю 25 бал.

Приложения:

bodunova94: Автор, помогу тебе, только отметь потом решение, как лучшее. Буду благодарна.
melchatgamer: Хорошо

Ответы

Ответ дал: bodunova94
1

Ответ:

Все ответы во вложении

Объяснение:

Приложения:

bodunova94: готово
melchatgamer: и там дальше https://znanija.com/task/37930136
Ответ дал: alhaan7545
1

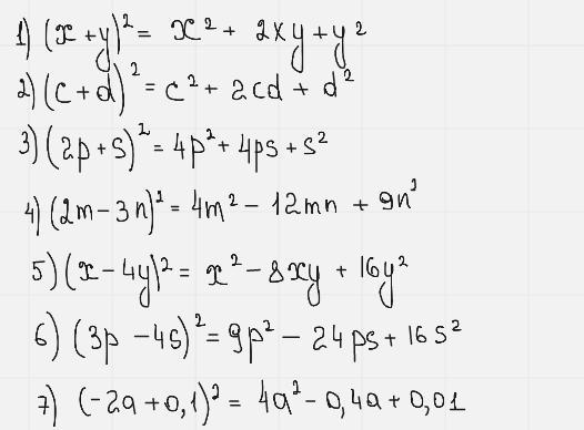
(x + y)^{2} = x^{2} + 2xy + y^{2}

(c + d)^{2} = c^{2} + 2cd + d^{2}

(2p + x)^{2} = 4p^{2} + 4ps + s^{2}

(2m - 3n)^{2} = 4m^{2} - 12mn + 9n^{2}

(x- 4y)^{2} = x^{2} - 8xy + 16y^{2}

(3p - 4x)^{2} = 9p^{2} - 24px + 16x^{2}

(-2a + 0,1)^{2} = 4a^{2} - 0,4a + 0,01^{2}

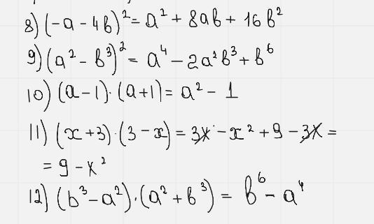
(-a - 4b)^{2} = a^{2} + 8ab + 16b^{2}

(a^{2} - b^{3})^{2} = a^{4} - 2a^{2}b^{3} + b^{9}

(a - 1)(a + 1) = a^{2} - 1

(x + 3)(3 - x) = 9 - x^{2}

(b^{3} - a^{2})(a^{2} + b^{3}) = b^{6} - a^{4}

Свойства:

(a + b)^{2} = a^{2} + 2ab + b^{2}

(a - b)^{2} = a^{2} - 2ab + b^{2}

(a - b)(a + b) = a^{2} - b^{2}

Вас заинтересует