• Предмет: Алгебра
  • Автор: jackfisher74
  • Вопрос задан 3 года назад

помогите решить пожалуйста​

Приложения:

Ответы

Ответ дал: BpexLoader
0

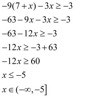
Решение на фото.................................

Приложения:
Вас заинтересует