• Предмет: Алгебра
  • Автор: Аноним
  • Вопрос задан 11 лет назад

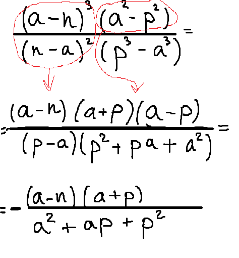
ребята пожалуйста помогите решить:) сократите дробь.  (a-n)³(a²-p²)/(n-a)²(p³-a³)

Ответы

Ответ дал: NNNLLL54
0
Смотри ответ во вложении  

(n-a)^2=(a-n)^2
Приложения:
Ответ дал: yuliagal
0
у меня получилось так, может в условии ошибка
Приложения:
Вас заинтересует