Ответы
Ответ дал:
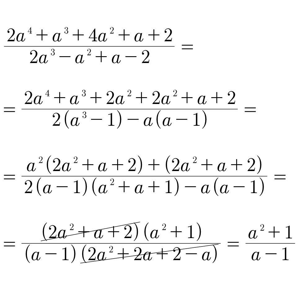
1
/////////////////////////////////
Приложения:

Аноним:
Или ты хочешь сказать, что по ссылке, которую ты тут так снисходительно кинул, решают в пятом класе...
Ответ дал:
1
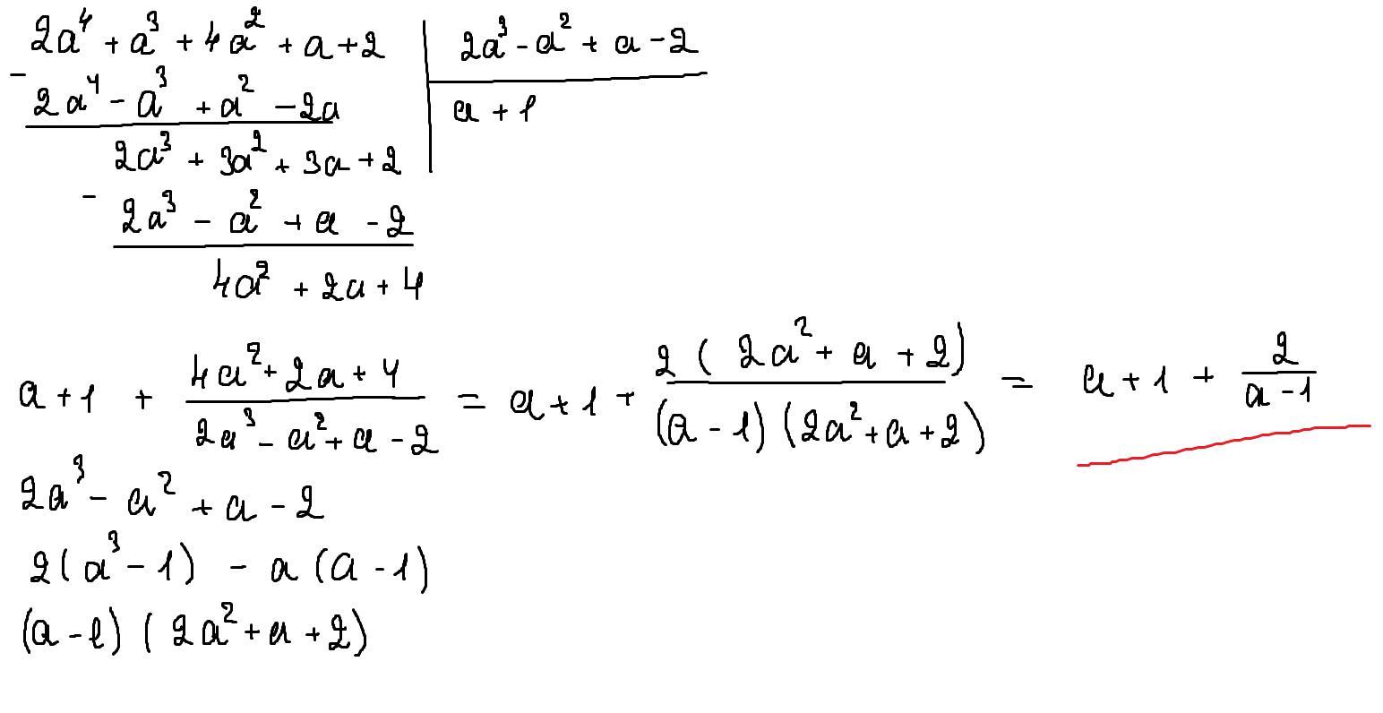
Ответ:
Объяснение:
*************************
Приложения:

Вас заинтересует
2 года назад
2 года назад
2 года назад
7 лет назад
7 лет назад
9 лет назад