• Предмет: Математика
  • Автор: gaiserket66
  • Вопрос задан 3 года назад

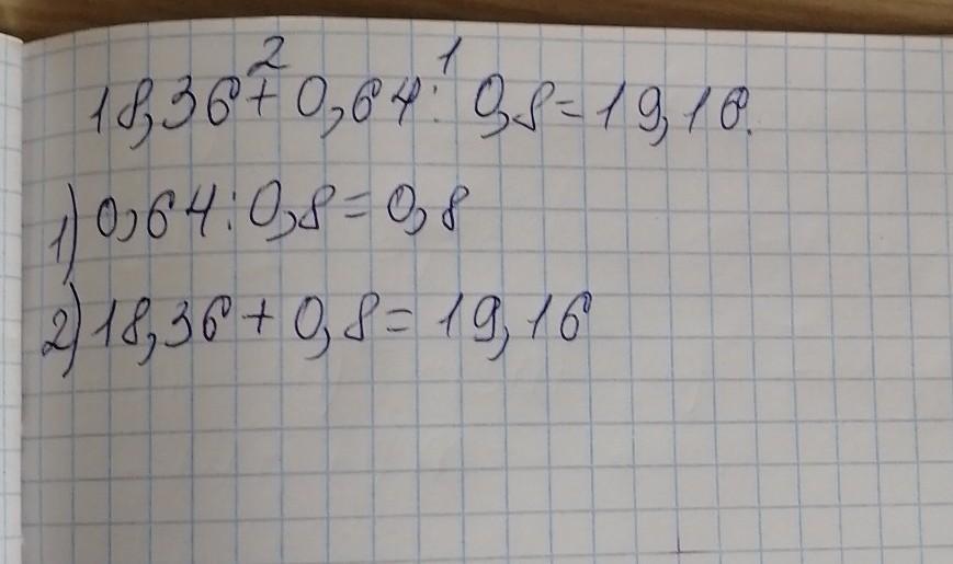
18,36+0,64÷0,8
помогите сколько будет, и запишите действиями ​

Ответы

Ответ дал: silantyevnikitp3u6qm
2

Ответ:

19.16

Пошаговое объяснение:

1) 0.64/0.8=0.8

2) 0.8+18.36=19.16

Ответ дал: 60cRaZy60
0

Ответ:

На фото

Пошаговое объяснение:

..................................

Приложения:

gaiserket66: большое спасибо
60cRaZy60: Пожалуйста))
Вас заинтересует