Ответы
Ответ дал:
0
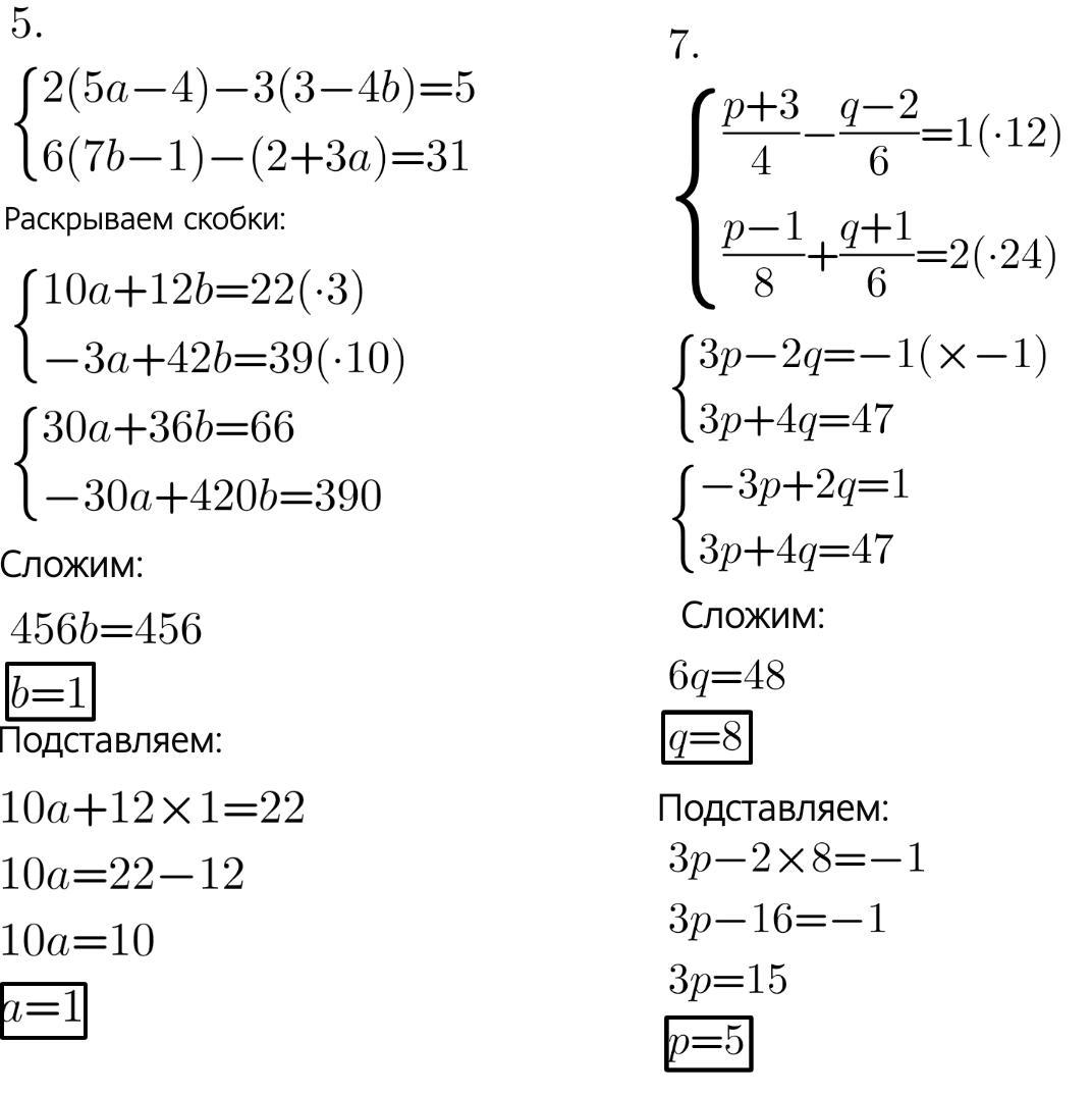
Решение во вложении.
Ответ:
5.а=1;b=1
7.q=8;p=5
Приложения:

Вас заинтересует
2 года назад
2 года назад
2 года назад
7 лет назад
7 лет назад
9 лет назад