• Предмет: Алгебра
  • Автор: miloslavakovalenko2
  • Вопрос задан 3 года назад


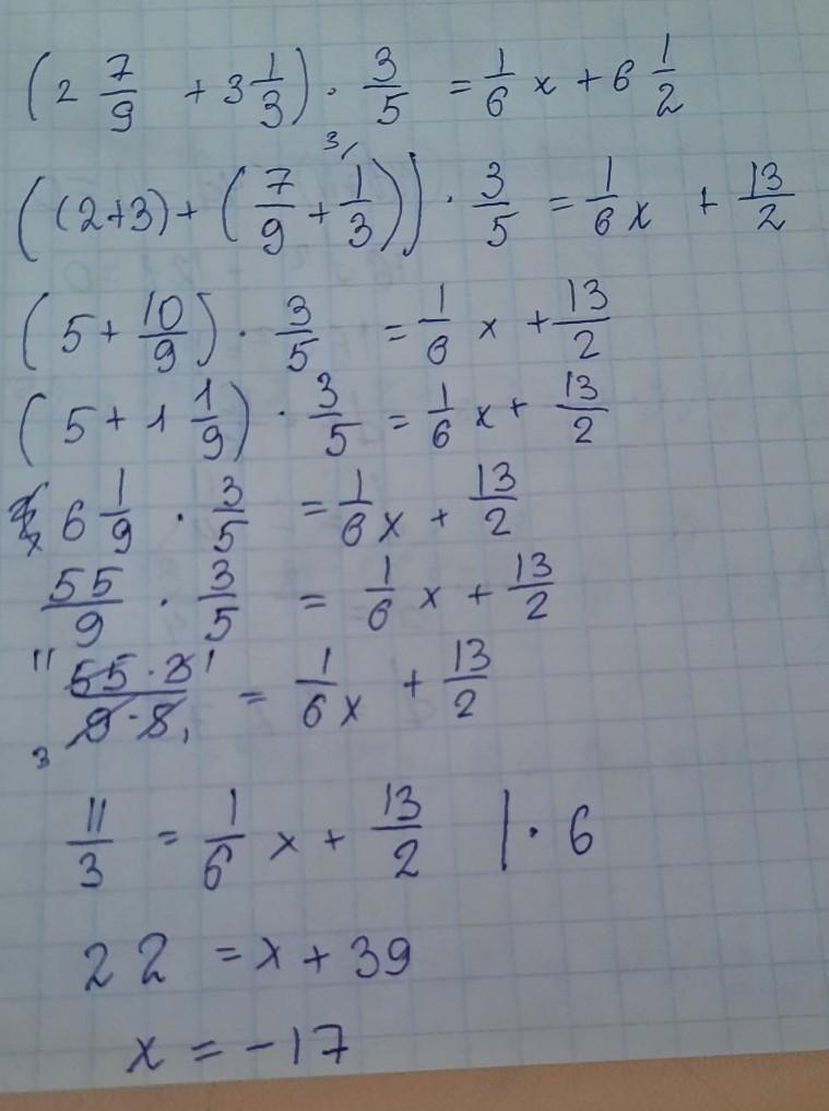
(2\frac{7}{9}  + 3  \frac{1}{3}) \times  \frac{3}{5} = \frac{1}{6}x + 6 \frac{1}{2}
Помогите пожалуйста вычеслить ​


tatsach: А вы в 1 скобке Х не потеряли?

Ответы

Ответ дал: Koteiki007
0

Ответ:

-17

Объяснение:

Надеюсь, помогла. вот решение

Приложения:
Вас заинтересует