• Предмет: Алгебра
  • Автор: altynbeka844
  • Вопрос задан 3 года назад

Друзья помогите пж.Я не понела эти таблицы можете написать ответ на черновек и отправить мне дам 20баллов

Приложения:

Ответы

Ответ дал: KennyLans
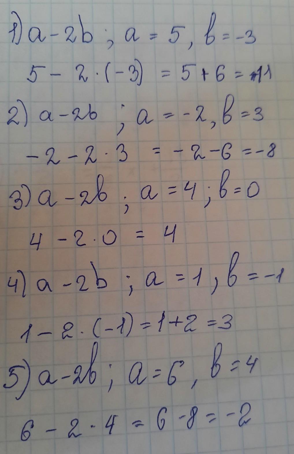
1

a - 2 * b: 5 - 2 * (-3) = 5 - 6 = -1

a - 2 * b: (-2) - 2 * 3 = (-2) - 6 = -8

a - 2 * b: 4 - 2 * 0 = 4 - 0 = 4

a - 2 * b: 1 - 2 * (-1) = 1 + 2 = 3

a - 2 * b: 6 - 2 * 4 = 6 - 8 = -2

Ответ дал: Koteiki007
1

Ответ:

все на фото

Объяснение:

надеюсь,помогла

Приложения:

altynbeka844: Спасибо Koteiki 007 и Кеnny Lans
Koteiki007: пожалуйста
Вас заинтересует