• Предмет: Физика
  • Автор: nastyashumilovskaya
  • Вопрос задан 3 года назад

Фізикаааа, срочнооо допоможіть ​

Приложения:

Ответы

Ответ дал: ssroman72
1

Ответ:

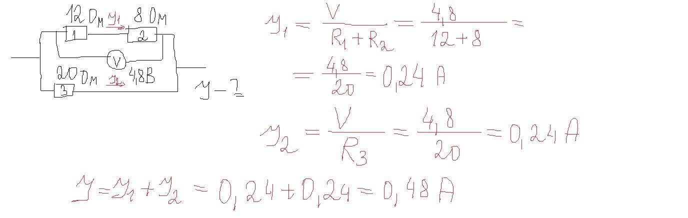
ответ на картинке с решением

Объяснение:

Приложения:
Вас заинтересует