Задание номер 8 во вложении СПАМЕРОВ СРАЗУ ОТМЕЧАЮ И ВЫ ЛЕТИТЕ В БАН НЕ ДУМАЙТЕ ЧТО СМОЖЕТЕ НАСПАМИТЬ НА МОЙ ВОПРОС И ЗАДАТЬ СВОЙ ВОПРОС-вас удалят быстрее)
Приложения:

Ответы
Ответ дал:
1
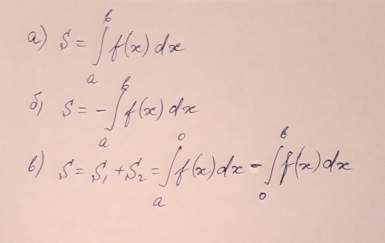
Ответ:
Записать формулу для вычисления
площади криволинейной трапеции.
Приложения:




Вас заинтересует
2 года назад
2 года назад
2 года назад
7 лет назад
7 лет назад
9 лет назад