• Предмет: Алгебра
  • Автор: Filka7
  • Вопрос задан 3 года назад

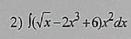
Вычислить неопределенный интеграл

Приложения:

Ответы

Ответ дал: Artem112
2

Интегрирование степенной функции:

\int x^adx=\dfrac{x^{a+1}}{a+1}+C,\ a\neq  -1

Находим интеграл:

\int\left(\sqrt{x}-2x^3+6\right)x^2dx =\int\left(x^{\frac{1}{2} }-2x^3+6\right)x^2dx =\int\left(x^{\frac{5}{2} }-2x^5+6x^2\right)dx =

=\dfrac{x^{\frac{5}{2} +1}}{\frac{5}{2} +1} -\dfrac{2x^6}{6} +\dfrac{6x^3}{3}+C =\dfrac{x^{\frac{7}{2} }}{\frac{7}{2} } -\dfrac{x^6}{3} +2x^3+C=\boxed{ \dfrac{2}{7}x^3\sqrt{x}-\dfrac{x^6}{3} +2x^3+C}


Bublik2223: ..
Rusik236K: спс
Вас заинтересует