Помогите пожалуйста. Очень срочно надо!!
P.S:нажми на фотку, чтобы увидеть полный пример.
Приложения:

Ответы
Ответ дал:
1
Ответ:
- 2 / 9
Объяснение:
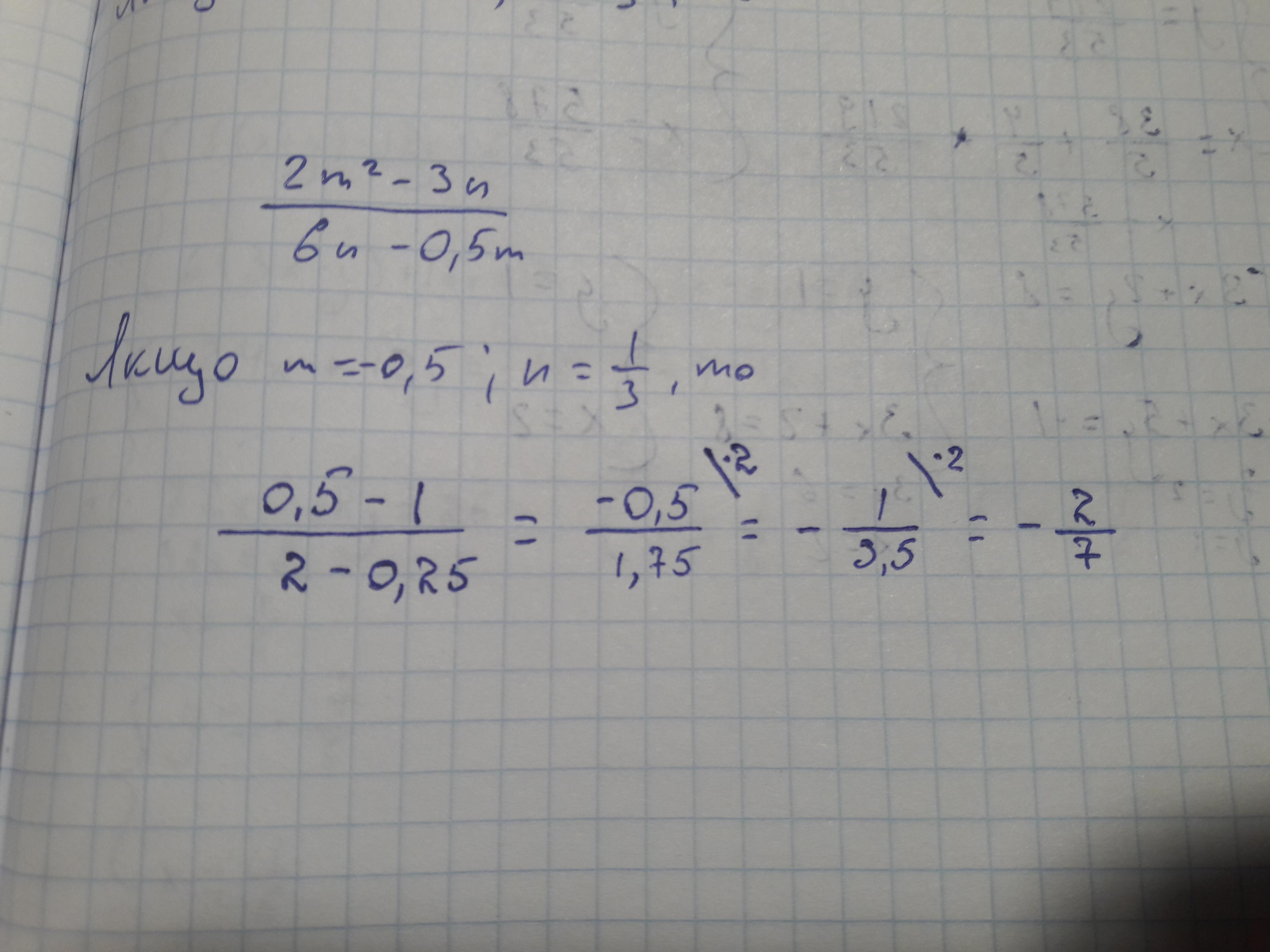
Решение смотрите на фото
Приложения:

gvggvxfhbhh:
спасибо большое!!!
Ответ дал:
0
ну думаю тут понятно
Приложения:

Вас заинтересует
2 года назад
2 года назад
2 года назад
2 года назад
7 лет назад
7 лет назад
9 лет назад