• Предмет: Алгебра
  • Автор: oteevamaramka
  • Вопрос задан 3 года назад

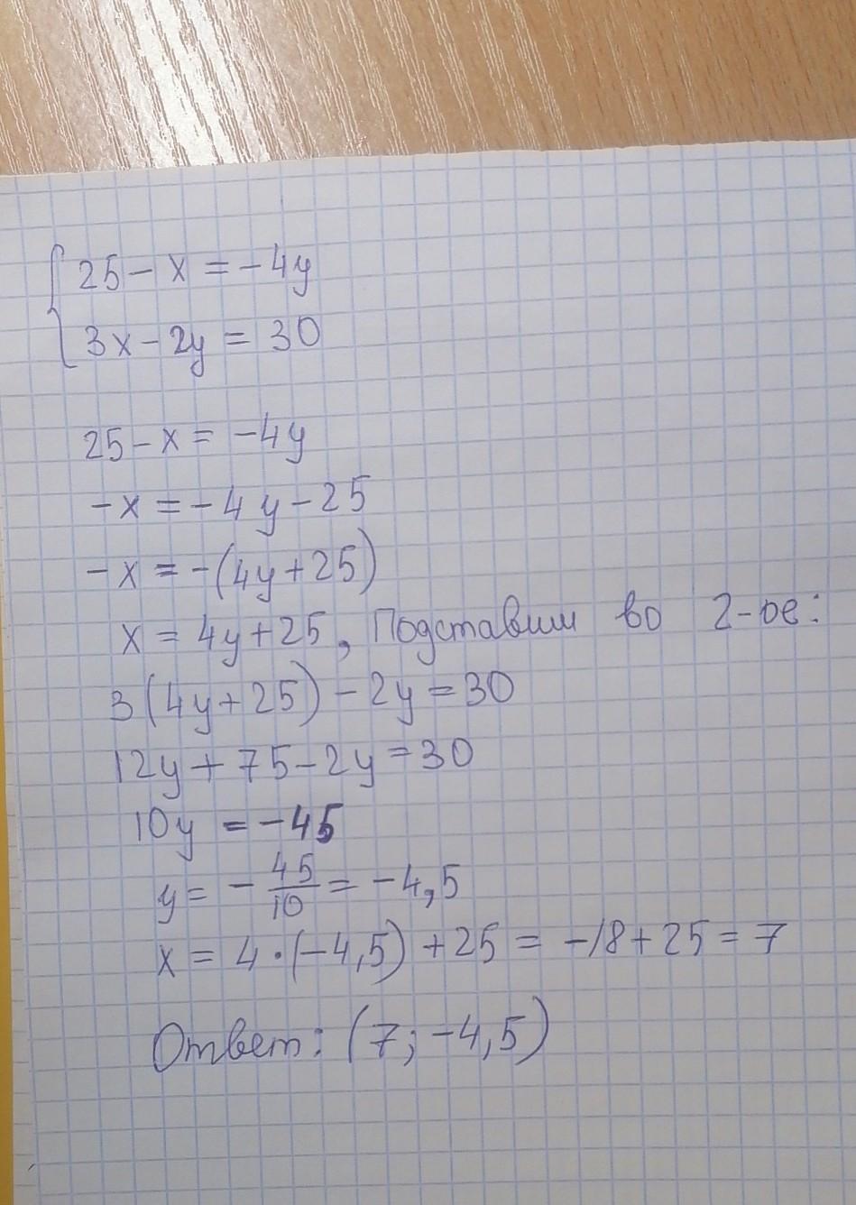
система уравнений 25-x=-4y 3x-2y=30

Ответы

Ответ дал: Wald3mar
3

Объяснение:

Решение прикреплено на фото

Приложения:
Ответ дал: AresStone
1

Ответ:

x=7

y=-4.5

Объяснение:

из первого выражаем x, получим

x=4y + 25 подставим во второе

3*(4y+25)-2y=30 раскрываем скобки и переносим y  в одну сторону свободные члены в другую

12y-2y=30-75

10y= - 45

y= -4.5

подставляем в первое уравнение

x = 4*(-4.5)+25 = 7

Вас заинтересует