• Предмет: Алгебра
  • Автор: daniiiilka15
  • Вопрос задан 3 года назад

Сделайте пожалуйста!!

Приложения:

rozko4: какое именно
daniiiilka15: Все 4 или хотя бы 3

Ответы

Ответ дал: BpexLoader
0

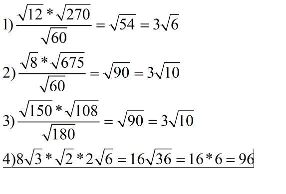
Решение на фото...................

Приложения:
Вас заинтересует