• Предмет: Алгебра
  • Автор: fominaalisa9372
  • Вопрос задан 3 года назад

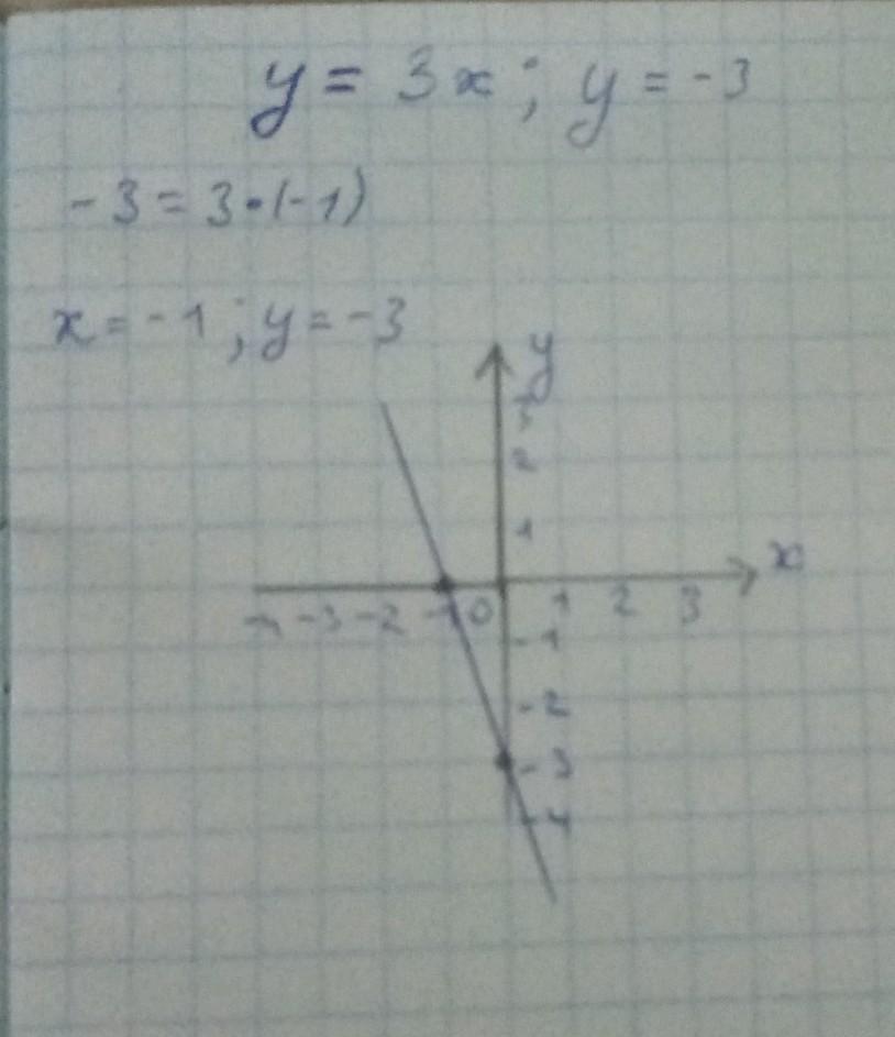
y=3x ; y =-3,
график функции​

Ответы

Ответ дал: demonbe
1

Объяснение:

Так или не так я не помню

Приложения:
Вас заинтересует