• Предмет: Алгебра
  • Автор: 20072Tema
  • Вопрос задан 3 года назад

Просто помогите доделать :,)

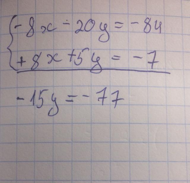
Приложения:

Ответы

Ответ дал: otsm
2

Минус на минус даёт плюс, и получится:

-15у= -91 |: -15

у= 91/15 = 6 целых 1/15.

Подставляй в любое из уравнений и находи Х.


20072Tema: Спасибо огромное:,)✨
Вас заинтересует