• Предмет: Математика
  • Автор: erimbetzanerke05
  • Вопрос задан 3 года назад

тагыда көмек керек еді ​

Приложения:

alisherkev: ???

Ответы

Ответ дал: alisherkev
1

Ответ:

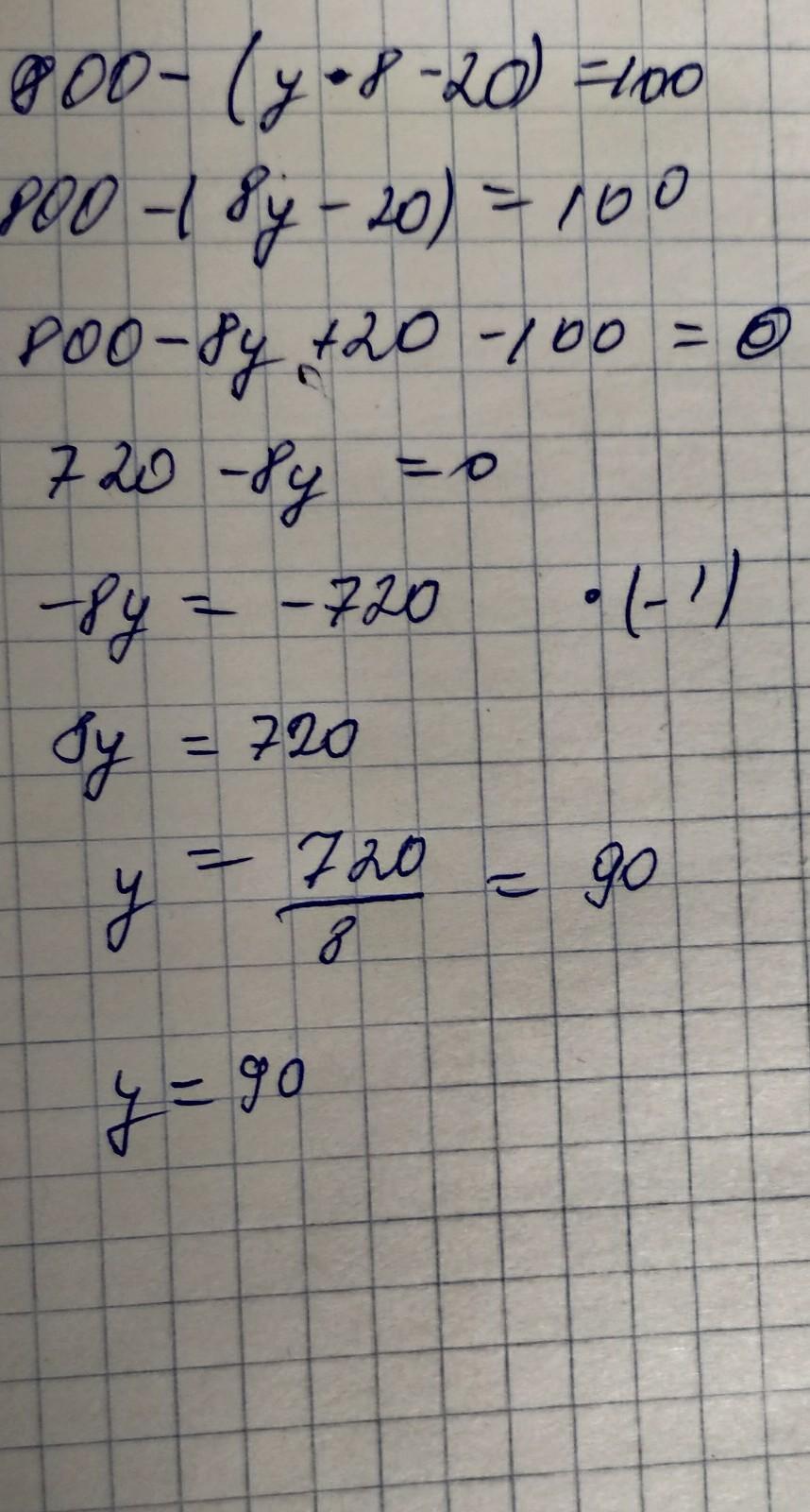
800-(y*8-20)=100

Пошаговое объяснение:

y=90


erimbetzanerke05: спс
Ответ дал: nuralyaitmukha96
1

Пошаговое объяснение:

ооллллллллддщддддддддд

Приложения:

erimbetzanerke05: спс❤
Вас заинтересует